您当前所在位置:主页 > 新闻动态 >

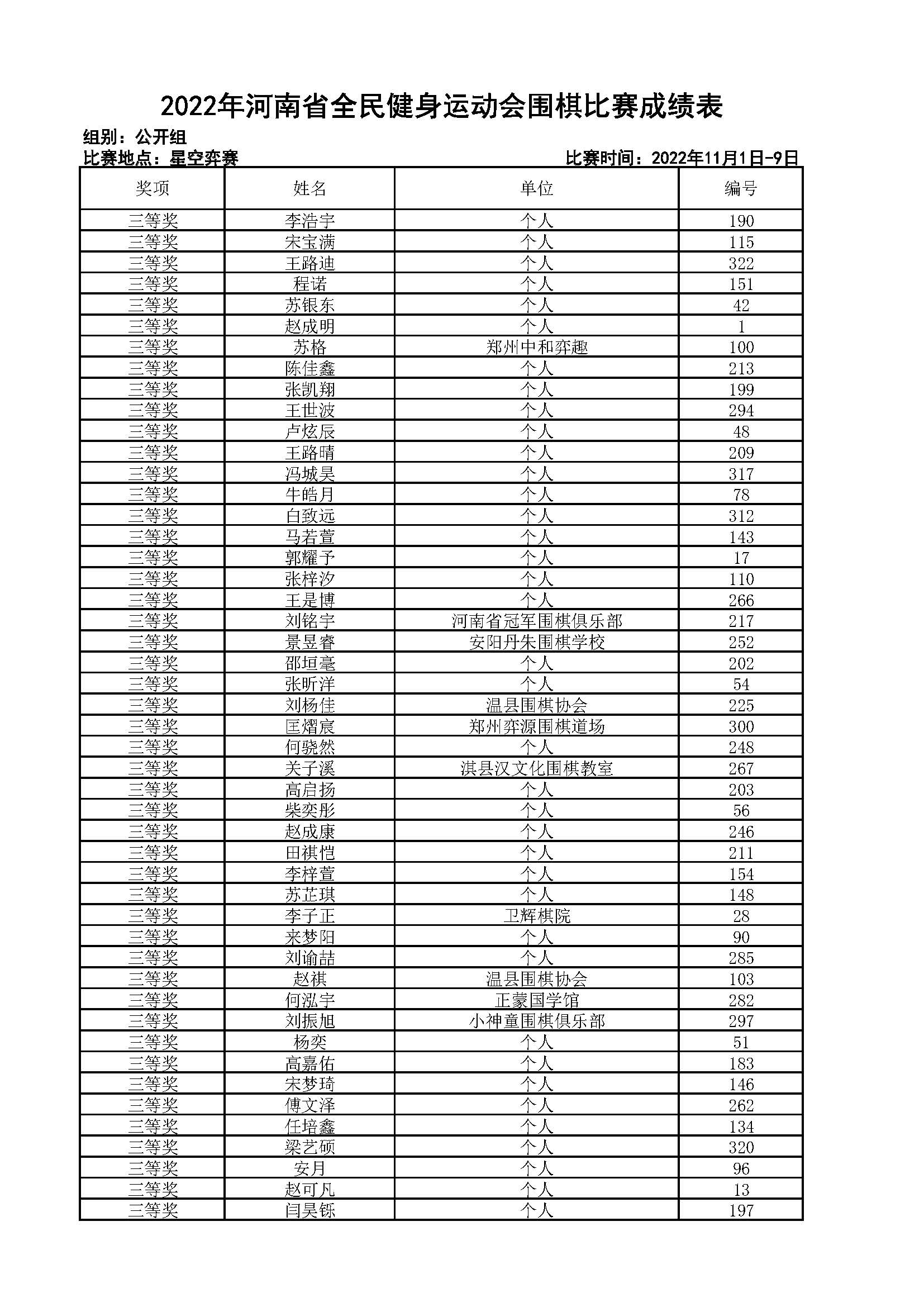
2022年河南省全民健身(线上)运动会成绩公示

来源:未知|发布时间:2022-11-10|浏览次数:2855

各位参赛选手:

经过9天激烈角逐,“欢庆二十大健身进万家”2022年河南省全民健身(线上)运动会围棋比赛已落下帷幕,成绩如下,选手可关注河南全民健身公众号,等通知下载电子获奖证书。

参加更多围棋赛事请关注河南省围协会官网。

images/7/2022/11/JwOhgHWeqeZEcQRwKHK44H4XPCtOwQ.jpgimages/7/2022/11/j8ZjB0fUbQBeo17k0k1BBC1bUBem2u.jpgimages/7/2022/11/p8224t0RYFhXwYtDwj4X4rAA09ZXmR.jpgimages/7/2022/11/Kra5bg55Q2Nrn2o57NZr8XZZn5ZB8A.jpgimages/7/2022/11/TGEp5C4Zq5QqTzzt21qEexIETqFgZ2.jpgimages/7/2022/11/G3kqJpZtVxRT3tZ3hT4VvHyhRrtBmf.jpgimages/7/2022/11/t533YZhe91Rza19rze159H1heE5hEG.jpg



Copyright © 2002-2023 河南省围棋协会 版权所有
主办:河南省围棋协会 ICP备案号:豫ICP备17044349号
技术支持:河南阿尔法棋牌体育有限公司